Stage Setups
Below are few samples that show the evolution of staging instructions. In 1979, notes from Diana Ross’ stage set up were handwritten, written out briefly on a piece of torn paper. The note was included in the concert file and is the only documentation indicating how the stage should be constructed. Later in 1984, in preparation for Prince’s Purple Rain Tour, the Mid-South Coliseum received a detailed package, containing numerous architectural sketches with measurements illustrating how the stage should be created.
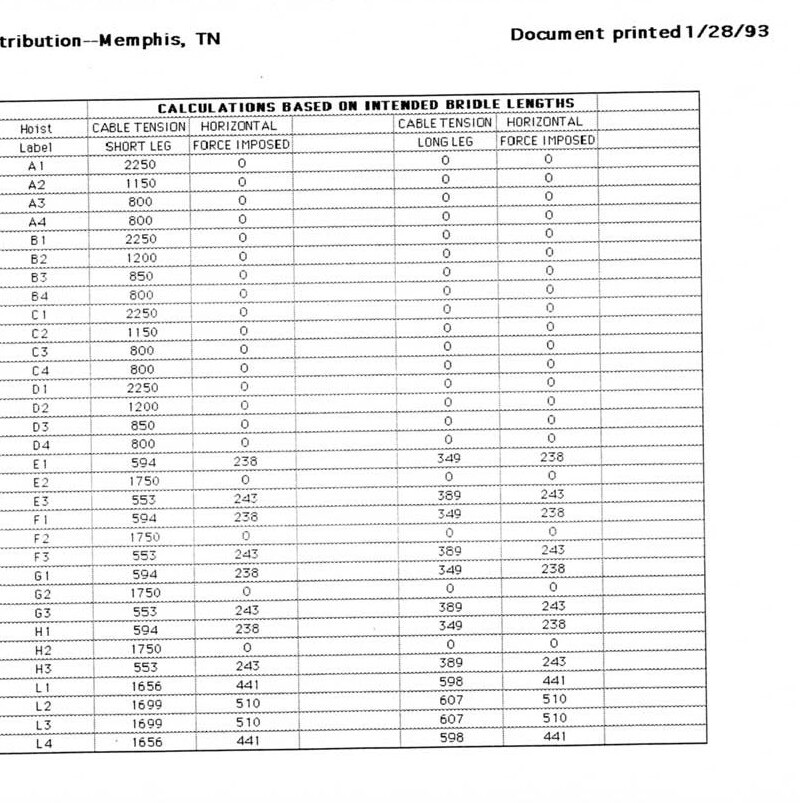
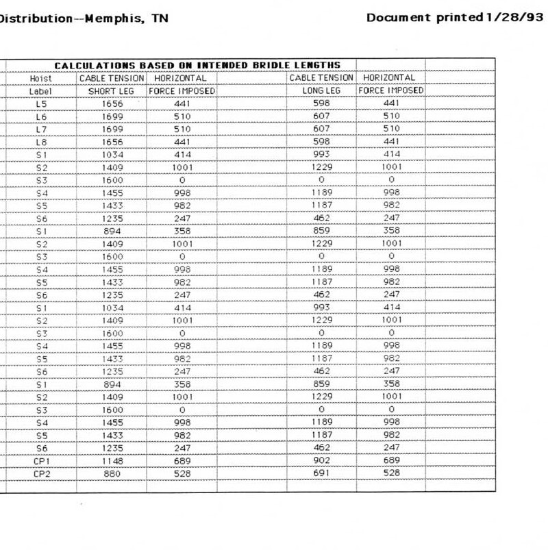
By the 1990s, stage productions had become notably more elaborate, as is evident in this production package from the band, Def Leppard. The file from their 1993 The Seven-Day Weekend Tour contains numerous pages of correspondence between the Mid-South Coliseum, the band’s representative, and an architectural/engineering firm. Click the image below to read through one document, an 18-page fax detailing the specific requirements for rigging the stage as specified by Def Leppard’s show rigger and production manager.




































